图知网
搜索
首页
热门推荐
图片分类
换装纸娃娃
下载原图
相关图片
q版纸娃娃手绘教程,王默草莓甜圈圈手工贴纸装扮
小花仙纸娃娃手工,夏安安q版爱丽丝装手绘教程_哔哩哔哩_bilibili
q版纸娃娃王默甜品师装扮手绘精灵梦叶罗丽手工贴纸
小花仙纸娃娃手工三仙女露露q版手绘教程
美少女战士q版纸娃娃
晚安天使宝贝创意手工,纸娃娃q版卡通女孩天使艾莎-母婴亲子视频-搜狐
为你推荐
我的爱 孙燕姿 歌谱 简谱
(fate)红a/卫宫士郎63无限剑制78
经典皇家马车
手抄报边框 手抄报边框中国风
如何画q版朝鲜族男孩的简笔画古装汉服简笔画男古代汉服简笔画儿童画
大明宣德年制传世包浆精品铜香炉做工精美线条流畅重991克
梦幻少女头像紫色动漫 高清好看的可爱紫色少女头像动漫图片_女生动漫
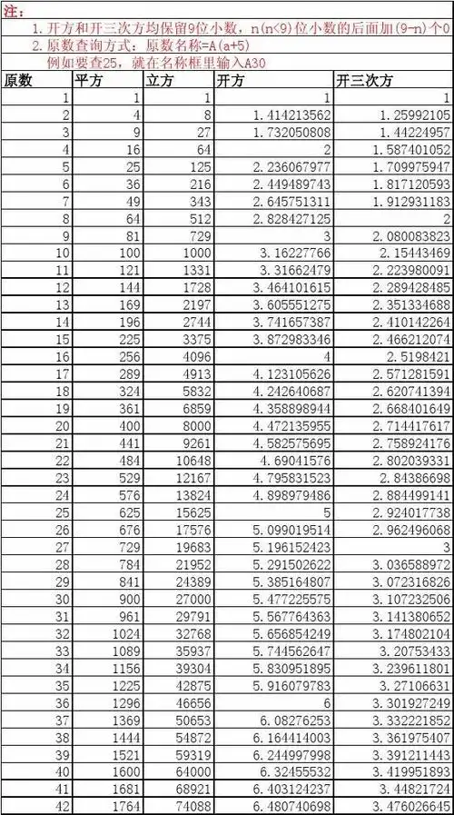
【免费】1~100平方&立方&开方&开三次方