图知网
搜索
首页
热门推荐
图片分类
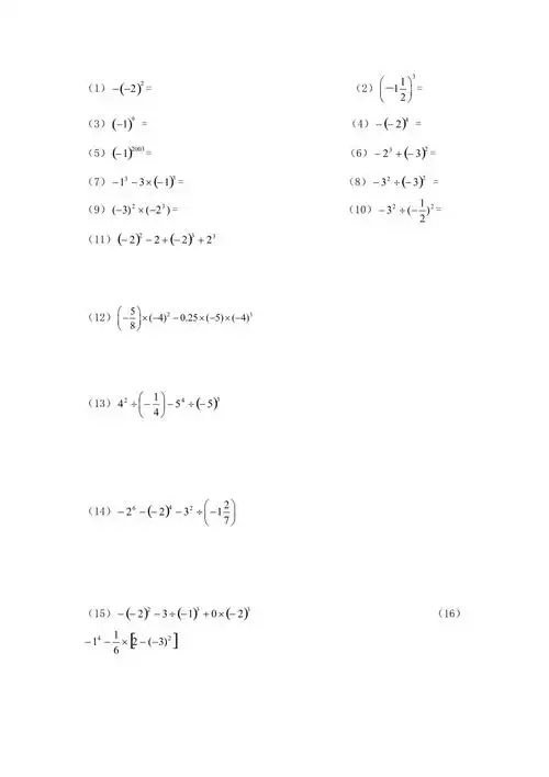
初一数学100道有理数计算题
下载原图
相关图片
初一数学月考试卷.docx 4页
100道初一数学计算题
初一数学计算题练习
初一数学选择题50题含答案
初一数学平移检测题
七年级数学试卷
为你推荐
熊-萌趣果冻字体签名设计
56冰种正阳绿天然缅甸翡翠正圆手镯辣绿高冰种玉镯
小邪神:因为太羞耻了没记住什么味道(傻笑)
包皮环切器包皮系带定位一点通
吉林梅花鹿角粉鹿角帽粉 托盘鹿脱盘通乳疏通250克正品
短视频运营必备工具大全推荐
北京市民户口多出32个陌生人 警方称弄错楼号
当涂一大波罕见老照片流出!我们的珍贵回忆都在这里了