图知网
搜索
首页
热门推荐
图片分类
有的人为什么动不动就翻脸?其实人类与生俱来就有"看脸色"的本能
下载原图
相关图片
不行就是不行再说一句我翻脸了_再说_翻脸_不行表情
30年情谊,说翻脸就翻脸,俄罗斯的兄弟国家要投靠西方国家了
女人的脸和友谊的小船一样说翻就翻!
做人,该翻脸时翻脸,不要怕得罪人!
老天爷说翻脸就翻脸!
说翻脸就翻脸gif小护士gif可爱gif动漫gif
为你推荐
园50余名儿童身着汉服,在仓巷街历史文化街区稚圭亭前,正衣冠,点朱砂
高品质寸头男头第二弹.#优质头像 #值得你长期不换的头像 # - 抖音
空白表格简历模板.docx-原创力文档
元朝疆域最大时有多大
丰田凯美瑞2406年的油底平衡轴咋对
希沃tv86da智慧黑板触控一体机
求这张图片的高清图,中国动漫vs日本动漫人物
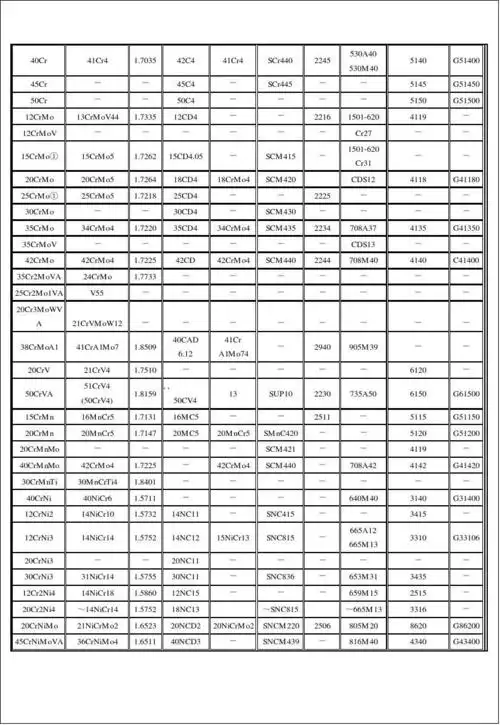
各种钢号对照表