图知网
搜索
首页
热门推荐
图片分类
你能给我发过来葫芦丝大海的谱吗 谢谢
下载原图
相关图片
fuyin8286329传谱相关歌谱:[简谱]小楼窗外是大海[简谱]星辰大海是
《大海》张雨生_歌谱简谱_歌词简介_曲谱资料
大海的简谱,五线谱,吉它谱,大海的歌谱,张雨生歌曲,名人歌谱网
简谱:《大海》-张雨生演唱
大海(二字歌谱)1
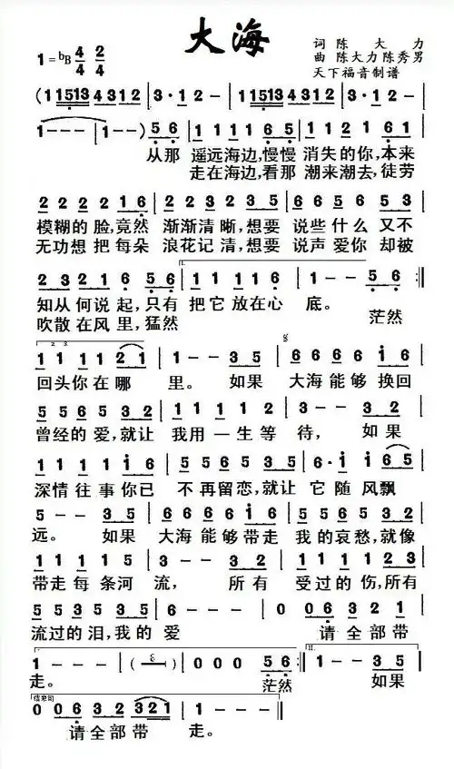
大海 歌谱 简谱
为你推荐
循环快三年的歌了很喜欢歌词的一句他们不想看到年轻
都暻秀《cream soda》打歌直拍
颈椎病康复ppt
凹凸世界 瑞金
金智妮头像可爱沙雕 可爱头像图片大全 -【爱个性】
各类阀门在图纸中的符号
木制玩具
山楂