图知网
搜索
首页
热门推荐
图片分类
雷诺尔lne-sm-f软管防水接头,穿线管接头
下载原图
相关图片
lne^2等于多少
lne2/2等于多少
e的1次方等于e所以lne是1 提问者评价 太给力了,你的回答完美解决了我
有不懂的吗? 回答 我之前发的有过程哦 很清楚 很详细 追问 ^lne
二次函数图像和性质第四课时2ppt
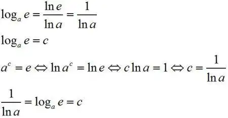
数学logae怎么等于lna分之一?这是个固定公式吗?
为你推荐
索乐利培酮片1mg60片
【杂图】蓝色天空,唯美意境风景,手机壁纸
弱弱的问一句,她们是不是专精反啦(只能精一个来
证件照尺寸一般多大 - 抖音
装修干货l型厨房橱柜这样做实用又好看
第1047期|百合头像:0624百合向动漫闺蜜头像|女女情头 - 知乎
手绘版飞行棋 儿子说想玩飞行棋游戏,果断安排上 家里有画纸,马克笔
honda本田原厂汽油发动机清洁剂燃油宝250ml