图知网
搜索
首页
热门推荐
图片分类
这座小屋的外墙采用了深绿色和青铜色的搭配,显得古
下载原图
相关图片
绿色系超清新壁纸
690_1493竖版 竖屏
绿色系壁纸好喜欢啊
334_500竖版 竖屏
绿色系壁纸 好喜欢
690_1493竖版 竖屏
为你推荐
风景手机壁纸大图
深圳市龙华区观湖街道社区分布地图
王子文晒吴永恩画作,内容细节尽显爱意,男友昵称高调秀恩爱
老兵×沙角 ︳一组大片带你打卡记忆中的"水兵摇篮"
西装外套/男生拍照姿势/男生拍写真/时尚 一开始这个小哥说想拍酷酷一
王子邱胜翊亮相电影节红毯 气度非凡引尖叫
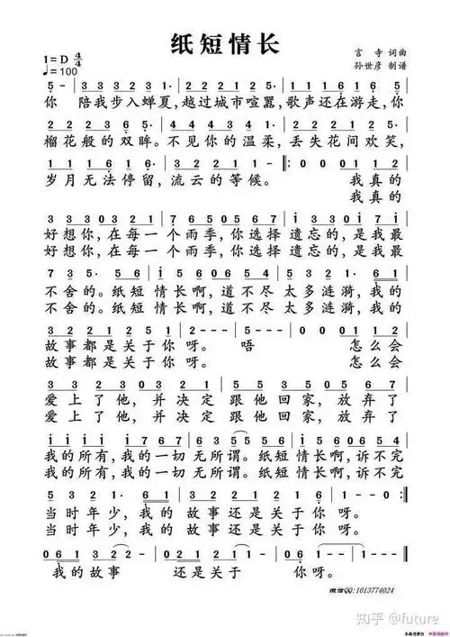
流行歌曲口琴简谱 口琴谱子大全流行歌曲简单-图片大观-奇异网
唐三复活大明二明,帮小舞守护唐舞桐,天青牛蟒人形是绝世大帅哥