图知网
搜索
首页
热门推荐
图片分类
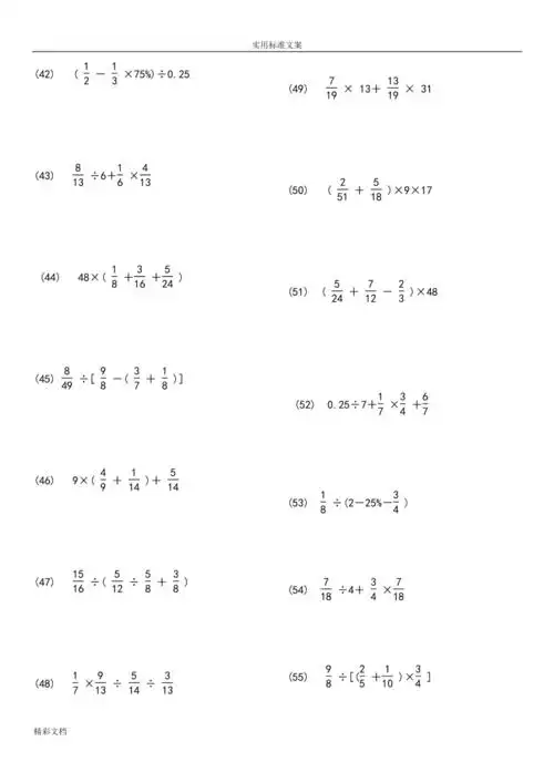
分数乘除法混合运算简便计算
下载原图
相关图片
六年级上册分数乘除法混合运算专项练习题pdf7页
小学数学分数混合运算计算题加减乘除简便运算六年级上专项训练
8套分数乘除法混合计算题
分数加减乘除混合运算
六年级上册分数乘除法混合运算专项练习题目
(精品)六年级数学上册分数乘除法混合运算练习题答案
为你推荐
95 亲们,这次给大家带来一系列超可爱的番茄卡通头像!
计谋qq动态表情 qq表情大全 qq表情
今世有缘简谱歌词云菲菲演唱君羊制谱
溺水女孩被捞起,脸部发白嘴唇发紫,抢救现场被曝光!
新北师大版数学五年级下册_长方体的体积ppt
西安星途艺考培训学校
天王郭富城情史揭秘收割16位女神每段情缘都惊心动魄
"奋斗的青春最美丽"手抄报评选结果揭晓