图知网
搜索
首页
热门推荐
图片分类
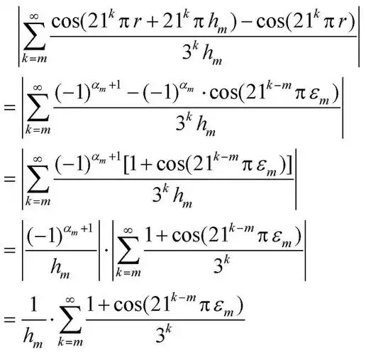
如何证明魏尔斯特拉斯函数处处不可导?
下载原图
相关图片
维尔斯特拉斯函数
魏尔斯特拉斯函数
数学家安培对连续函数是可微的命题曾经提出过一个证明,在19世纪整个
生活知识科普大全维尔斯特拉斯函数高中13种函数图像汇总
现代分析学之父魏尔斯特拉斯他用一个函数挑战了整个微积分学界开创
魏尔斯特拉斯函数doc5页
为你推荐
邓伦#
中考物理试题调研 题型89 物体的受力分析
古风指写 道
英文纹身英文短句纹身手稿英文纹身手稿图案
法属圣马丁
饿狼传说
库里的动漫头像图集来了0303#卡通头像 #金州勇士 #do - 抖音
3,温成皇后:张氏,宋仁宗宠妃,石州军事推官,赠太师开府仪同三司,清河