图知网
搜索
首页
热门推荐
图片分类
《大金皇弟都统经略郎君行记》上的契丹文写了什么
下载原图
相关图片
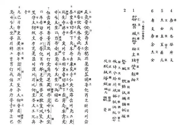
契丹字 汉字对照表
收藏系列之杂项篇:辽金契丹文青铜活字印刷版,文字需专业人士解 - 抖
契丹文字
罕见!契丹文《辽道宗耶律洪基哀册》 《宣懿皇后哀册》
契丹文字是谁建立的 契丹建国之初,太祖神策五年(920),由突吕不,鲁
讲座刘凤翥通过解读契丹文证明辽朝曾实行双国号制度
为你推荐
magsafe双项充电器
生命之树
天鹅颈锁骨发
多巴胺女孩恋柱·甘露寺蜜璃|鬼灭之刃 作者:midjourney
安徽合肥新桥国际机场新建24个远机位缓解二期投产前运营压力
抖音郭老师是哪里人抖音郭老师什么学历
中华对联大全 4册 实用民间文学 中国对联集锦中华对联故事中华对联粹
而相对的,适应了这种"快节奏"更迭的消费者们对于"体验感"和"新鲜感"