图知网
搜索
首页
热门推荐
图片分类
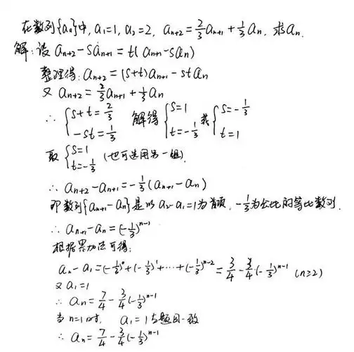
大学数学高等数学微积分求极限
下载原图
相关图片
这道题能难倒大学生
北京大学2020年强基计划招生数学题,求sn最大值,常规方法可解
大学生数学试题及答案_第1页
一道高数的题目,有些难,谢谢
大学高数题,求解
超难的一题数学题求大神帮解答!谢谢
为你推荐
可爱的拉布拉多小狗在白色背景下看着相机照片
国画关公像关圣帝君像系列5#每日一画 #每日一画挑战365天 - 抖音
钢琴谱:天黑黑(降a调演奏版,孙燕姿)
jak/stat信号通路图
可爱的卡通猴子竖起大拇指
伽罗不太行,而他可以做到不知火舞4代原画优化,每一次优化都会加布料
现在许多人买空调,更多的人开始买;立式空调,也就是我们常说的柜机
佛光普照-放下