图知网
搜索
首页
热门推荐
图片分类
北方华创:半导体设备龙头优势明显,国产替代主力军产融互动有序
下载原图
相关图片
北方华创:关于召开2023年度暨2024年第一季度业绩说明会的公告 |快报_
北方华创董秘回应"股价更便宜了":a股市场较为低迷
北方华创:半导体设备龙头优势明显,国产替代主力军产融互动有序
北方华创:定增不超过85亿元,大基金二期认购近15亿元|北方华创|认购|
北方华创-金色号角作品_哔哩哔哩 (゜-゜)つロ 干杯~-bilibili
北方华创营收超200亿八年高增 持续推动降本增效净利率6连升__财经头
为你推荐
元诚汽车运输车货车卡车东风康明斯eq2102eq1118刹车蹄片总成汽修配件
国外漫画师笔下的肌肉男,太可了 - 动漫肌肉男壁纸 健身 - 实验室设备
在俄罗斯远东地区生活是种怎样的体验?
辽宁紫剑律师事务所律师简介
供应片弹簧卡扣 佛山南海弹簧片生产厂家 天花吊顶卡簧片
逍遥赘婿笔趣阁_逍遥赘婿叶墨叶倾城全本小说免费阅读
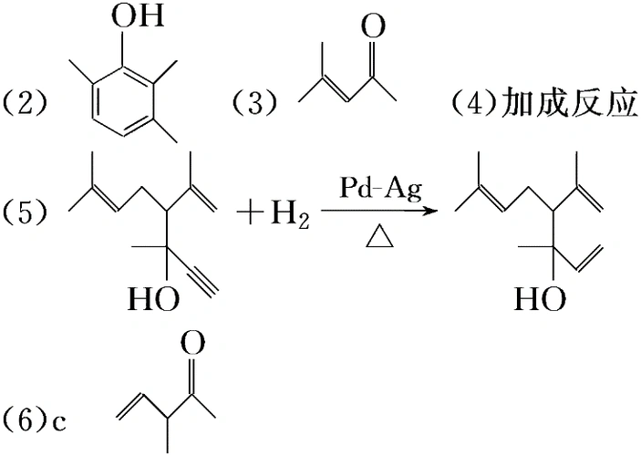
答案:(1)3甲基苯酚(或间甲基苯酚)
高速公路起点行驶方向(右)高速公路入口加速车道施工道口标柱禁止大型