图知网
搜索
首页
热门推荐
图片分类
真实身份被扒不简单,是变性豫剧大师_边姐_媒婆_生活
下载原图
相关图片
实力派网红明星边姐来啦!
开封王婆"接班人"边玉洁:是豫剧名家还是变性人,爱讲荤段子
实力派网红明星边姐来啦!
就是照片中这个哈儿当还在读aoe的时候就开始谈恋爱
边姐个人资料是男,边姐的个人资料
边姐简介说起这位网红达人豫剧花旦,河南地区的许多豫剧戏迷绝对赞不
为你推荐
肖宇梁|蒙古舞手动放大欣赏版
笑起来很治愈的小清新甜妹头像 温暖阳光的笑容灿烂治愈系女头
晓港湾小学在他们的画笔下新时代的广州竟然这么美
红色的宫墙
苹果素描
篮球袜子生街球圣地系列毛巾底加厚吸汗防滑筒实战精英运动袜
苦力怕娘ampamp末影娘
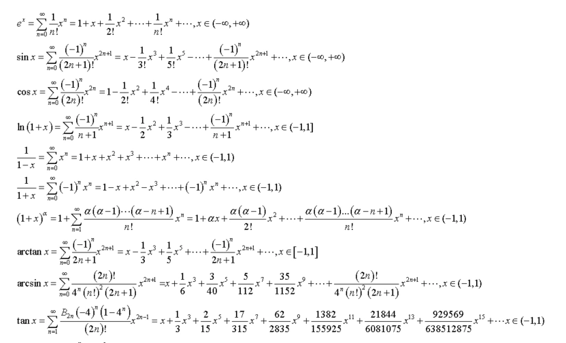
求大神把泰勒公式中常用函数的展开式写给我谢谢了,要详细的