图知网
搜索
首页
热门推荐
图片分类
二重积分之星形线
下载原图
相关图片
3-5定积分的若干应用ppt_word文档在线阅读与下载_免费文档
x cos3 t [例3] 星形线: y si n t t [0, 内
【深度学习导数回顾】滑竿问题--导数求极值--星形线
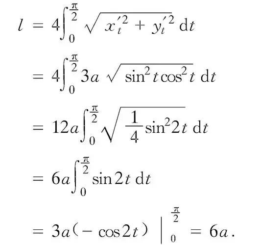
2817求星形线xacos3tyasin3t0t2π的全长
(2) 星形线x 2/3 y 2/3=a 2/3绕x 轴旋转; 解:见图15,该
高等教育 理学 第七节 旋转体的体积计算ppt 无 2 2 2 例4 求星形线 x
为你推荐
专辑封面设计vol11原创插画
张艺兴正面硬刚孙红雷,极挑上演肯德基事变,年度虐心戏太搞笑
一个小岛上的很严密的监狱里逃生的电影片
最新看透人心的悲凉句子失望看清一个人的句子
1月29日-最新早安漂亮图片祝福|快乐|爱情|清晨|早上好_网易订阅
谢天谢地
用这个纯手工辣条配方已经摆摊7年,按照配方做出来的辣条有多种口味
【科普贴】曝光广东10个超美网红无边泳池,随手拍个抖音都能收获几万