图知网
搜索
首页
热门推荐
图片分类
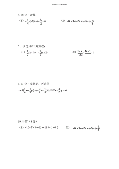
初一数学基础计算题
下载原图
相关图片
初一数学上册计算题专项练习四doc12页
七年级上册第一章月考真题之计算题#知识分享 #初中数学 #七 - 抖音
七年级数学上册计算题.docx
初中七年级数学上册整式计算题专项练习含答案doc13页
北师大初中七年级数学上册的有理数计算题docx6页
七年级数学上册计算题.docx 4页
为你推荐
抛弃女友,抹黑中国?当初备受瞩目的郑伊健,现在近况如何?
幼儿园区域规则#幼儿园区域规则可打印 #区域规则图示 #可打 - 抖音
头像刘梦
古代四大匕首一种荆柯刺秦一种虞帝所用一种扎人没人能看见
李宁反伍badfive男士冰感舒适秋季运动短裤
你追求的所谓成功其实真的不值几毛钱的幸福
植树节手工来喽,用废旧纸箱做大树,环保又漂亮
揭秘"最高礼遇"④|近年人数之最 武警成都支队30人礼宾队伍迎接抗疫