图知网
搜索
首页
热门推荐
图片分类
求lnx的导函数
下载原图
相关图片
lnx / x^2 如何求导?
在对内层函数求导:[2x]的导数为2
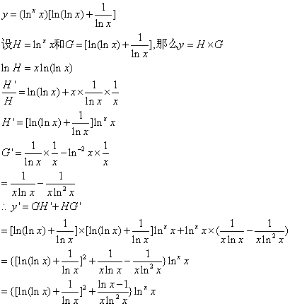
y=[(lnx)^x] * [ln(lnx) (1/lnx)] .求y的导数
为什么 lnx 求导是 1/x?|算术|方根|导数|齐次性|平均值_网易订阅
y=xlnx的n阶导数怎么求
(sinx)^lnx的导数
为你推荐
龙须刘海假发片女夏季中分仿真发假刘海自然前额网红流海八字刘海
简笔画390帽子
动漫头像文豪野犬q版
黔南周恒等人涉黑案件一审公开宣判_瓮安
最强六边形战士七月的少年
日本自卫队新锐力量"水陆机动团"武器装备大揭秘
粉色为副色调,再加上木色增加色彩鲜明度,使整个房间即达到了小女孩
汉语拼音4dtnl1课件18张