图知网
搜索
首页
热门推荐
图片分类
送亲智能简谱王琦演唱歌谱-苍强曲谱
下载原图
相关图片
送亲(王 琪)简谱
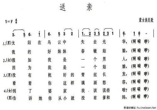
送亲
乌兰齐齐格演唱送亲歌的光标跟随动态有声简谱
155昌二胡有声简谱第51页送亲片段唱谱示范练习弘扬和传承民
送亲歌词简谱
伤感流行情歌《送亲》,王琪词曲唱,瓜熟蒂落你却落进墙外的繁华
为你推荐
波迷娜bomina背心吊带打底衫
刘恺威的人生经历:从选秀冠军到全能艺人的成长史|娱乐圈|电视剧|综艺
木耳肉丝(木耳肉丝怎么炒好吃又嫩)
【告哀】3月3日,比利·海灵顿去世,年享48岁,不是谣言.
白巧克力-贾森·威廉姆斯的传奇nba生涯
在人生的岔路口,你对你的选择还满意吗?
动漫男头 乙坂有宇
v6,207万战力,炽天使翅膀此天天炫斗账号已出租0次帐号出租-租号玩