图知网
搜索
首页
热门推荐
图片分类
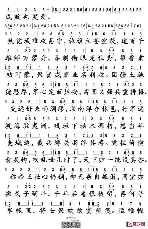
权御天下简谱分享
下载原图
相关图片
权御天下简谱乐谱
权御天下简谱(歌词)-洛天依演唱-门酱胡安曲谱2
权御天下简谱-洛天依演唱-孙世彦制谱3
权御天下 歌谱 简谱
权御天下 歌谱 简谱
权御天下-洛天依(简谱 需改编)
为你推荐
丁程鑫 - 堆糖,美图壁纸兴趣社区
李小璐
小李子莱昂纳多迪卡普里奥结束戛纳影展后 他便飞往西班牙的一个小岛
现在已经成为人们生活中必不可少的交通工具
实践育人作用,增强少先队员光荣感,推动少先队员成为革命故事的讲述者
女生gif输完了gif在下输了gif
干将莫邪
荣获洛阳市语文优质课大赛二等奖.