图知网
搜索
首页
热门推荐
图片分类
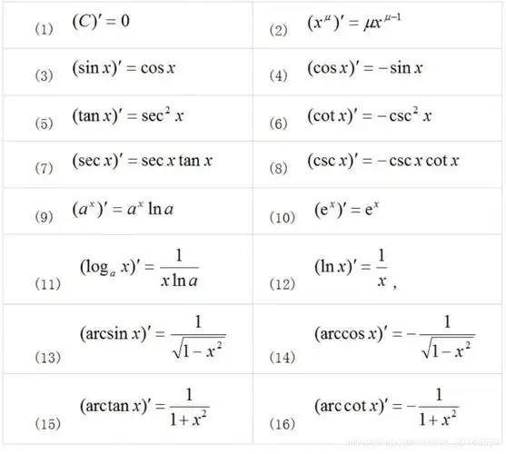
2020部队专升本科学基础高数-第二章导数:基本求导公式
下载原图
相关图片
常见求导公式
高等数学求导公式
基本导数公式
12个基本初等函数的导数公式
2《基本初等函数的导数公式及导数的运算法则》教案13-新人教a版选修2
机器学习算法23数学求导常见函数的导数导数的四则运算矩阵向量求导
为你推荐
lisa速写稿过程图
情侣头像 可爱表情包
邢昭林帅气西装写真图片桌面壁纸,大陆明星,帅气,帅哥,演员,帅哥明星
帅气冷漠男生微信头像2021最新款,卡通头像图片-回车桌面
国家地图东地中海
hirakawa daisuke
中国地图册世界国家地理地图册地形版 2017版套装共2本 清晰版铜版纸
公园沥青路与树木的景观观