图知网
搜索
首页
热门推荐
图片分类
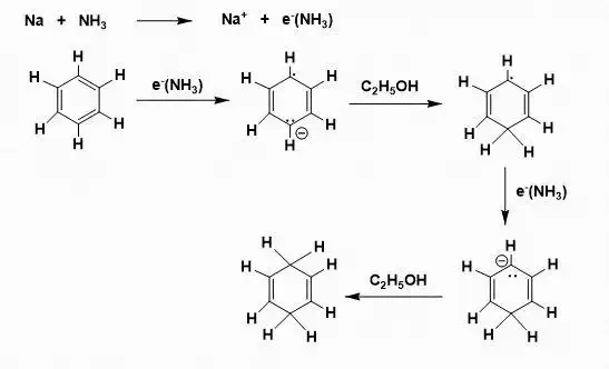
【开眼看世界】c64h64苯环(benzene ring)苯分子结构和萘分子结构
下载原图
相关图片
3《石油和煤 重要的烃》课件1ppt 苯的结构式(凯库勒式) 苯的结构式
凯库勒式
凯库勒式
苯的电子式怎么画?不要按凯库勒式画的!
为何苯的凯库勒式是不准确的但仍然在用
鲍林式和凯库勒式
为你推荐
procreate戴帽子的男生
最标准的莫西干发型,把头发弄向中间,并且梳起来,这样的莫西干最适合
金色吃鸡头盔绝地求生三级头盔大逃真人吃鸡装备吃鸡道具cos装备
女演员孙怡清爽简约甜美活动照
相关组词
二次元狐狸面具动漫和风妖狐猫脸日式半脸男女阴阳师古风舞会道具
商务蓝灰室内设计师简历模板
恭王府