图知网
搜索
首页
热门推荐
图片分类
40岁tvb艺人李璧琦大婚不做中式传统礼仪曾因恐婚拒绝男友求婚
下载原图
相关图片
40岁tvb艺人李璧琦大婚不做中式传统礼仪曾因恐婚拒绝男友求婚
李璧琦
tvb专演「不安份的女人」41岁李璧琦嫁人啦!
歌曲(汉语和英语)独唱冠军,公开组圣乐独唱冠军,李璧琦也很热爱音乐剧
李璧琦图片
李璧琦性感与美貌并存的女神性感写真集谁看了顶得住
为你推荐
手写英文26个字母大小写花体字图片素材
苏丹,是一个怎样的国家?
钢琴谱:90,国旗,国旗真美丽[上海六师学生]-z0190
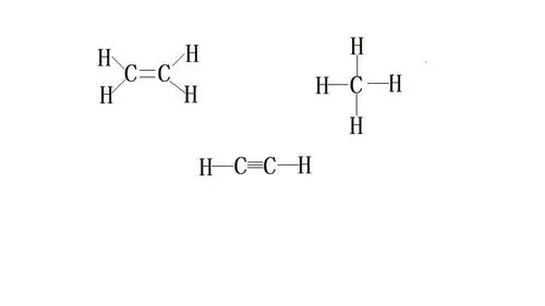
高化,结构式怎么写,乙烯,甲烷,乙炔
一粒麦子
花卉_年宵多肉花卉招财猫吸财树又名筒叶花月大老桩趣味观叶型植物
()二年级上册乘法看图列式专项练习.docx 3页
丑女人图片(江西女子) - 赤虎壹号