图知网
搜索
首页
热门推荐
图片分类
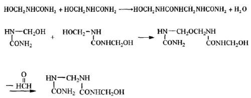
4:1,如生产3吨脲醛树脂胶,需甲醛与尿素的质量各是多少吨?
下载原图
相关图片
脲醛树脂ppt1
脲醛树脂的分子主链的结构式如上.
脲醛树脂的合成与应用
脲醛树脂
脲醛gambar struktural|9011-05-6gambar struktural
脲醛树脂的合成
为你推荐
逆天大长腿!杨旭文最新美图曝光演绎秋季时尚穿搭
郑恺苗苗晒结婚照官宣结婚囍字贴肚似有寓意
宝宝简笔园凹槽字帖初学者小孩绘画练习简笔画的书3-8-12岁儿童小学生
him和303的mc世界
情侣合照pose相机篇姿势分享
世界十大透明动物排行榜透明水母上榜第一是透明青蛙
p>《桐柏英雄》是一部由 a target="_blank" href="/item/中央电视台
张晨光与妻子的婚姻生活非常稳定,结婚几十年从未有过负面绯闻的传出