图知网
搜索
首页
热门推荐
图片分类
不服来战|爱因斯坦|傅立叶|公式_新浪新闻
下载原图
相关图片
听5分钟大爆炸爱因斯坦数学真的不好吗
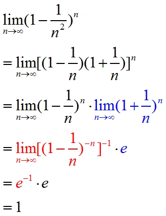
大家帮帮忙,数学高手帮忙看看.最好写一下过程.本人在此万分感激!
爱因斯坦有哪些惊人预测?
开玩笑gif爱因斯坦gif笑脸gif公式gif
如何演化的)阿尔伯特61爱因斯坦于1915年首次提出了他的广义相对论
爱因斯坦明明说宇宙最快速度是光速,为什么宇宙可以超光速膨胀?
为你推荐
the termite mound | flickr – 相片分享!
也要画就是不走寻常路图片来自插画师gillianlambert的一组素描作品
[出家人]僧人服装夏季薄款麻纱长褂佛教男女款僧衣僧服海青大褂长衫
精选好货蛋糕模型仿真2021新款网红流行卡通水果生日蛋糕样品橱窗展示
伊莲娇雪肩颈舒缓复/方精油30ml 身体背部按摩油男女美容院家庭
《对牛弹琴》儿童故事简笔画 成语故事简笔画
北京烤鸭设计图__广告设计_广告设计_设计图库_昵图网nipic.com
紫香兰|盆栽植物|兰花 超级耐看 纹路游走日月星华 复古咖紫色 高级