图知网
搜索
首页
热门推荐
图片分类
沙金牛仔手链男士 仿黄金现货古巴手链大气福字手扣速卖通爆款
下载原图
相关图片
正品足金手链足金9999古巴链男士手链水贝黄金工厂批发假一赔十
电黑金黄金手链男款复古纯金正品素金手饰5d硬金情侣款足金送男友
新款黄金马鞭手链男士999足金包银24k纯金福字贝壳头坦克链老板链
秋桑男士手链黄金竹节转运珠男3d硬金足金本命年手绳新年礼物送男朋友
黄金刺青手链男3d硬足金路路通皮绳男士手串霸气黄金手链送男友
老鳯凰同款老凤凰【520礼物】同款 黄金手链足金999男士款大金链子
为你推荐
可孚宽耳带柔耳口罩医用医护用宽带囗罩不勒耳三层防护升级款共200只
梅花十三头像
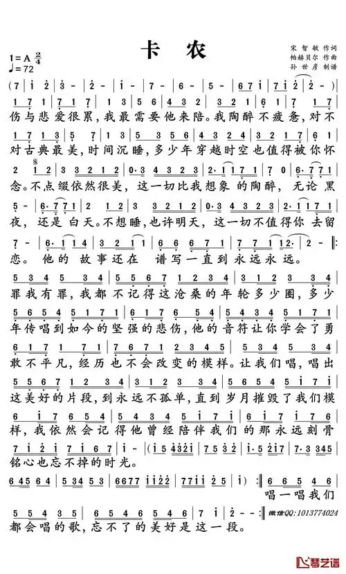
卡农简谱宋智敏演唱孙世彦制谱
88城堡爱迪生珍珠吊坠
【微信头像】刘耀文
呆萌可爱的小手绘儿童简笔画水彩画手帐绘画素材
"央视颜霸"李红有气质有才华,还会玩书法,的确令人羡慕!
情侣拍照姿势 创意拍照 不一样的情侣照