图知网
搜索
首页
热门推荐
图片分类
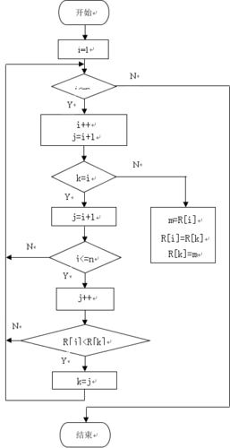
冒泡排序算法流程如下图所示.
下载原图
相关图片
冒泡排序流程图
有许多排序算法,图是冒泡排序的流程图.
冒泡排序流程图
冒泡排序 | processon免费在线作图,在线流程图,在线思维导图
冒泡排序的流程图为
冒泡排序算法
为你推荐
圆脸有点胖适合什么发型女孩
泰国软萌小萝莉可爱到爆炸!天使神颜,弟弟颜值也超高
赵露思《三千鸦杀》高清剧照图片壁纸
真的变了 新老款解放j6p牵引车细节对比
《莫斯科保卫者之歌》,正义之师,坚不可摧,为祖国而战!
520来复旦邂逅大咖!复旦人咖啡节奇妙遇来啦
三菱evo9能在街道上见到的几率比法拉利都还要少了吧
工程项目合同生命周期