图知网
搜索
首页
热门推荐
图片分类
贴海报讲知识防患未燃森林防火走进社区
下载原图
相关图片
森林防火绘画
森林防火人人有责 -华藏寺镇幼儿园
森林防火 人人有责
森林防火保护山林严禁火种
时间:2021-06-21 15:31:49森林防火,人人有责!
森林防火宣传海报
为你推荐
暖暖12星座水瓶座
中国电信摄像头,客户档口不做拆下来的,不会搞这玩意,摄像头正
莲花头像(长按保存)#头像 #荷花 #出淤泥而不染 #好运莲 - 抖音
印度尼西亚共和国的 国旗 国徽 国歌
机械公敌 女机械 机器人
小天鹅littleswan本色tg100ms9ilz滚筒洗衣机瑾瑜蓝带银离子
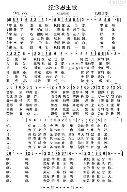
下载纪念恩主歌歌谱
妖精的尾巴密斯特岗学生装,斗篷加帽子加脸罩,,手拿俩喷雾剂,背上还有