图知网
搜索
首页
热门推荐
图片分类
周深无所畏惧简谱
下载原图
相关图片
《光亮》周深歌谱 《光亮》周深歌谱
周深《田埂五月风》简谱 很适合中小学生唱的一首歌 长沙想学声乐的
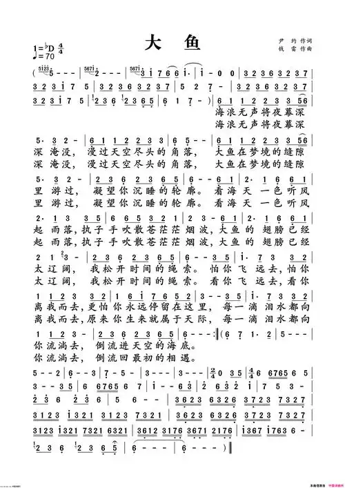
大鱼简谱-周深演唱1
不再流浪简谱(歌词)-周深演唱-电影《罗小黑战记》治愈推广曲1
亲爱的旅人啊周深简谱
《若梦》周深钢琴双手简谱曲谱
为你推荐
刮掉胡子像"整容"的男星,张晋不算什么,看到修睿我懵了_张涵予_硬汉
美国科学家说:"明天男性也能怀孕生孩子"
神明都会心动的动漫男头09(04900409)_男生头像_我要个性网
海陆饰演银黛
聊一聊吻戏,刘亦菲说吴亦凡总是用力过猛,其他人的吻戏也不咋地
励志文字壁纸
少年时代低段2019年12月期封面图片-杂志铺zazhipu.
这是单瓣茶花.