图知网
搜索
首页
热门推荐
图片分类
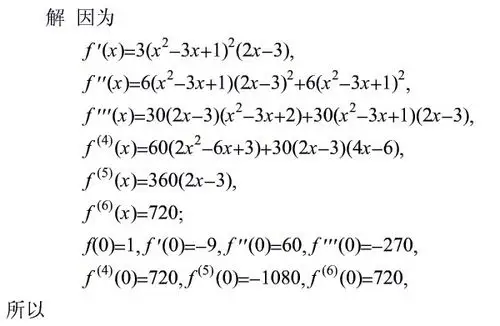
2018考研数三公式大全(6):常见麦克劳林展开式
下载原图
相关图片
常见麦克劳林公式大全_wrapper_wrapper_第4页
10个常用麦克劳林公式
10个常用麦克劳林公式
怎么背麦克劳林公式
麦克劳林公式计算
高等数学,微积分,sinx的麦克劳林展开式
为你推荐
适用于海信c20电池 g610m手机电池 海信金刚1/2 lp38300c电池
女明星谭松韵写真剧照:俏丽可爱,靓丽青春
慕林杉:简单四个字,知性女人.
忙碌,商务人士,工作,办公室
快乐的马卡通孤立在白色的背景
d罩杯的美女图一目了然近看d罩杯有多大
南京紫树烟多少钱一包_百科-8s新商盟
心理学:4只猫眼睛,哪个最让你不舒服?测你有没有当老板的能力