图知网
搜索
首页
热门推荐
图片分类
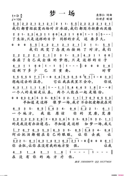
梦一场简谱乐谱
下载原图
相关图片
梦一场简谱/歌谱
梦一场简谱 梦一场这首歌表达了什么感情 歌曲原唱是那英
梦一场 简谱梦一场 吉他谱
那英梦一场简谱,那英梦一场歌谱,那英梦一场歌词,曲谱,琴谱,总谱
简谱王力宏梦一场2019中国好声音第一期原唱那英附歌词和弦
梦一场(那英酷音小伟编谱)_简谱
为你推荐
蔡徐坤头像
景甜明星壁纸(25)_网易订阅
女生胸围怎么测量一般女生的三围在什么范围啊
5亿的青少年即将或正在迈进青春期"门槛",青春期性发育,身高和心理等
怀孕时胸部变大,不得不穿内衣.普通的内衣又紧又勒,不穿又怕变 - 抖音
爱的步伐,穿越纬度,终将走进彼此心里.
鬼冢虎onitsuka tiger运动休闲鞋 男女款慢跑鞋dualio d600n-0190
重庆麻辣飘香萝卜干 脆萝卜干咸菜下饭菜 腌制500g【图片 价格 品牌