图知网
搜索
首页
热门推荐
图片分类
七年级下册数学计算题300道.docx 29页
下载原图
相关图片
浙教版七下数学第五章分式计算题集锦word版含答案
七年级下册数学计算题和解答题001pdf13页
北师大版七年级数学下册基础计算题100题无答案
人教版七年级下册数学二元一次方程组计算题word版含答案
七年级下册数学计算题300道.docx 29页
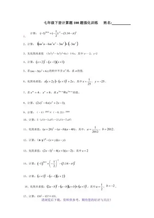
七下数学计算题100道
为你推荐
首页 手机壁纸 浪漫的情侣 > || 更新时间:2017-03-10 颜色分类: 唯美
45岁张译回黑龙江老家探亲!
4k高清手机壁纸
在看灌篮高手 crush了樱木花道
香港十大演技最佳男演员
全自动自清洗过滤器结构特点:水由进水口进入过滤器,首先经过粗滤芯
英雄联盟至臻冰女青花瓷皮肤一览_lol综合经验_52pk英雄联盟专区
财务公司logo和名片