图知网
搜索
首页
热门推荐
图片分类
宝马mini贴膜漫彩改色膜冰川蓝
下载原图
相关图片
加勒比蓝限量版,多彩的宝马mini_搜狐汽车_搜狐网
宝马mini汽车漫彩改色膜冰川蓝
深圳2020年08月minimini2020款20tcoopers绝配限量版蓝色自动档
宝马mini汽车漫彩改色膜冰川蓝
宝马mini汽车漫彩改色膜冰川蓝
中山抵押车16年宝马mini出售
为你推荐
0-18岁男孩身高体重标准表
夏日清爽手机壁纸简单的喜欢就够了
20个抖音近期超火表情丨再不约我就要回农村了
标智gm816a数字风速计风速仪风力等级数显风速风温测试测风仪批发
影响健康吗?医生一文解释清楚
朝日日本进口welchs麝香白葡萄汁果汁饮料高端饮品非浓缩原汁葡萄柚
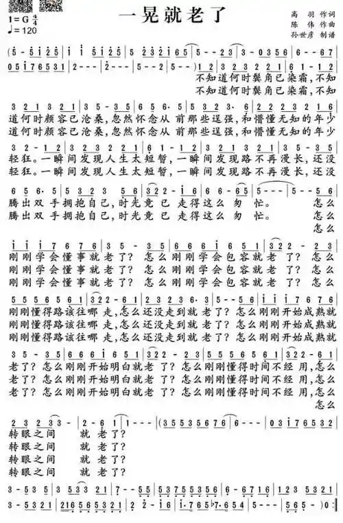
一晃就老了歌谱
斗罗大陆:大陆第一兽武魂-蓝电霸王龙_网易订阅