图知网
搜索
首页
热门推荐
图片分类
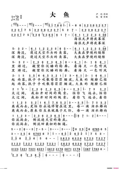
【大鱼简谱】动画电影《大鱼海棠》印象曲简谱
下载原图
相关图片
大鱼简谱-周深演唱1
《大鱼》简谱.欢迎一起交流陶笛心得 需要更多曲谱欢迎留言#陶 - 抖音
高音中音竖笛《大鱼》示范 乐谱 伴奏音频
大鱼简谱
大鱼简谱
大鱼周深演唱智能简谱动画电影大鱼海棠印象曲
为你推荐
孙俪忽然漂亮起来了眼睛不凸也不发腮了下巴的痣引热议
周大福传承小福牌手链
在头雕方面,面相的细节还不错 发型也非常还原 那么你们觉得这款头雕
肩上的担子
如何定义外墙仿石漆的标准
隆裕皇太后在民国二年(1913年)正月十七日,死于太极殿.
主义东北特产绿竹米天然谷物混合大米粗粮五谷杂粮5斤 5斤(竹香绿米)
警惕|孩子,这种宠物还是别养了!