图知网
搜索
首页
热门推荐
图片分类
红包在手,走上了人生巅峰_抢发红包图片_表情党
下载原图
相关图片
300_300gif 动态图 动图
萌宠表情 萌娃表情 斗图表情 锦鲤 土味语录 套路图 来自:soogif 应用
磕头小鸡可爱萌萌哒gif动图_动态图_表情包下载_soogif
谢谢老板金馆长磕头搞笑gif动图_动态图_表情包下载_soogif
给我买口红表情包:老公好,给您磕头了
久保田磕头悲伤我已经没钱了gif动图_动态图_表情包下载_soogif
为你推荐
蔡徐坤代言惠普电脑笔记本图片三
汤粉店的厨房装修
正宗木架子房现在不多了
机械与车辆工程学院举办"安全防火靠你我——寝室文化
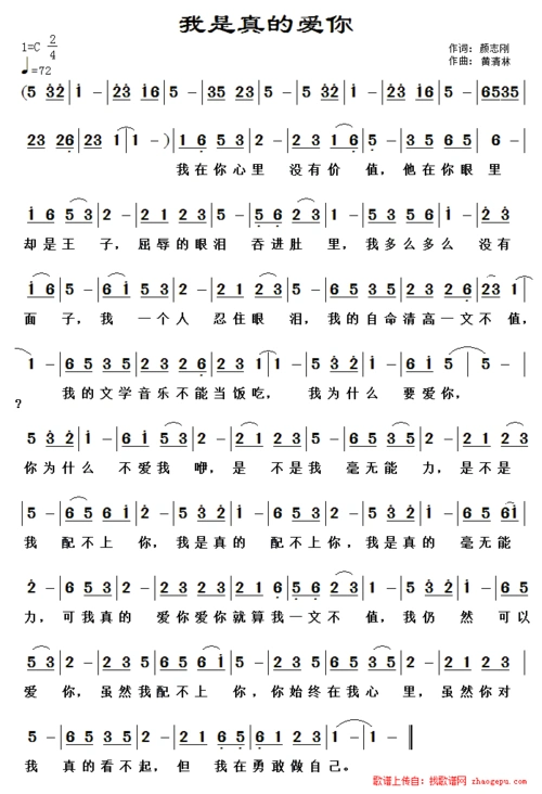
我是真的爱你陶笛谱
本人急求在水一方邓丽君萨克斯原版五线谱
松鼠跟踪
德国二战ufo