Warning: session_start(): open(/tmp/sess_9v94jgvl9smc1vcuun5fnsbnhg, O_RDWR) failed: No space left on device (28) in /www/wwwroot/www.tuzhiw.com/config.php on line 13

Warning: session_start(): Failed to read session data: files (path: ) in /www/wwwroot/www.tuzhiw.com/config.php on line 13
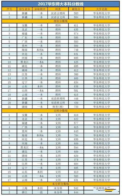
2022全国师范大学排名及录取分数线汇总 - 图知网

2022全国师范大学排名及录取分数线汇总

相关图片

为你推荐

原创这就是街舞即将上线罗志祥易烊千玺新老小鲜肉聚集

啃剩下的羊骨,盘玩很多年后,比玉还美…丨文玩daily

9位运动员出身韩星!hoshi曾是跆拳道选手,yuna是旱地冰球高手

我的四闺女值得更好的blackpink壁纸

安井冻品先生香脆藕盒小吃油炸酒店饭店餐饮其它

英雄联盟s12暴走萝莉金克斯出装顺序及天赋推荐

艾力绅2.0混动豪华.拿下21年12971531日上牌本田艾力 - 抖音

3d效果高达头像,哪款是你的最爱?


Warning: file_put_contents(/www/wwwroot/www.tuzhiw.com/cache/image/2a70c2e7ee11953a3ad0ecd19609aaac.html): Failed to open stream: No space left on device in /www/wwwroot/www.tuzhiw.com/config.php on line 196