图知网
搜索
首页
热门推荐
图片分类
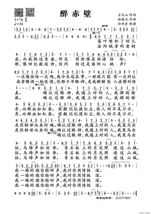
醉赤壁(林俊杰)(原版)钢琴双手简谱 钢琴谱 钢琴简谱
下载原图
相关图片
醉赤壁 谱友园地
醉赤壁_简谱
笛子谱 醉赤壁,电子琴,电子琴入门,电子琴入门教程,电子琴简谱
醉赤壁林俊杰演唱歌曲
醉赤壁c调拇指琴简谱
无法发送图片!
为你推荐
最美古风:唯美 古风美人 全身像
赵露思成为人鱼公主!紫色抹胸鱼尾裙引发热议!
原创vava毛衍七新专热歌cx300登天津卫视实力与商业价值持续上升
浦东东园四村30平北欧风格一室户装修效果图
圣安地列斯里我有的存档进入军事基地时是4颗星,有的是5颗星,求解.
发电厂的烟囱里冒着已经脱硫的白烟袅袅直上,看着连点风丝都没有.
无锡市天一大饭店有限公司
酸菜馅的大蒸饺 一个顶仨的实在美味_哔哩哔哩 (゜