图知网
搜索
首页
热门推荐
图片分类
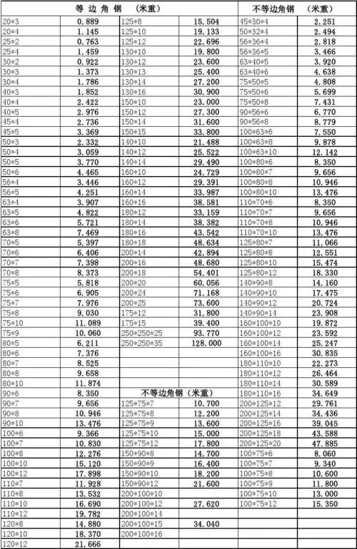
常用型钢角钢理论重量表
下载原图
相关图片
角钢理论重量表2
角钢理论重量表microsoftword文档
角铁重量的计算方法: 每米重量=0.00785*(边宽 边宽-边厚)*边厚*1.
角钢理论重量及表面积
角钢理论重量表大全
等边角钢重量参考表
为你推荐
金晨的2021年是她倍速成长的一年
tower-bridge伦敦塔桥
你觉得你很幽默吗(狗狗表情包)_幽默_狗狗表情
三明·沙县区花店|弗洛伊德毕业季花束.
机器男友
学科学法交流手抄报小学科技手抄报
吉星拱照 周润发,张艾嘉,利智,夏雨,郑丹瑞,黄坤玄 最后的和弦 张炜迅
如题,身上起了疙瘩,但疙瘩上有黑点,不疼不痒,求各位大神告知这是什么