图知网
搜索
首页
热门推荐
图片分类
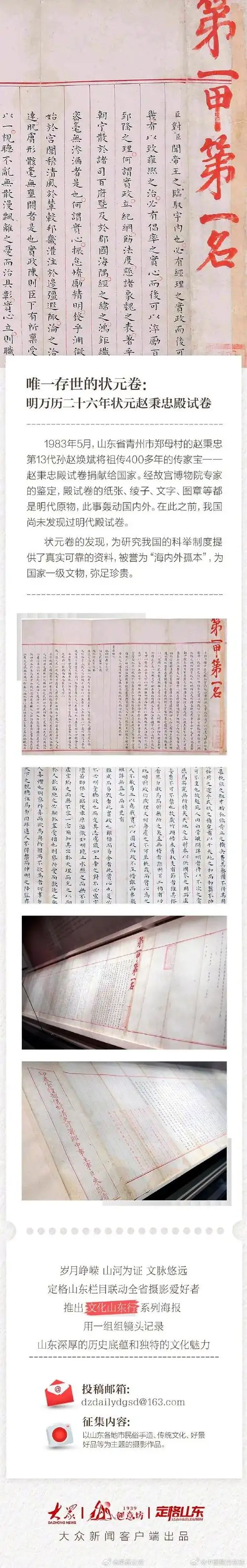
2460字无一处涂抹,"奶酪体"真比不了】 下图是明代状元赵秉忠的殿试卷
下载原图
相关图片
10位高考状元卷面曝光,"神仙书写"老师都舍不得扣分
惊艳!看了高考725分的状元试卷,才知道写得一手好字有多重要!
高考状元的"神仙卷面",字迹工整如印刷体,老师都赞不绝口
明万历二十六年状元赵秉忠殿试卷】#关注2024山东高考#1983年5月,山东
高考状元语文试卷走红,看到字迹后,才知道她为什么得高分
各省高考状元的试卷样貌:字迹犹如印刷体,让老师舍不得扣分
为你推荐
最适合胖子的发型男生脸胖的男士别乱剪发型了
【端午节主题儿童画】 纸:荷兰白卡8k 笔:法卡勒马克笔 好久没画画了
央美第一才女画了一张大卫至今无人超越批评家没有刘小东会更完美
同样是怀孕生孩子,看看赵丽颖再看看颖儿,两人的差距肉眼可见
对话女排新帅安家杰觉得自己很敬业但在郎导面前才刚及格
毕业同学录简笔画
圆锯迷你迷你切切割机家用木工多功能小型手持电锯电圆锯
我约上我的小伙伴来到南亚欢乐田园,寻找"童趣".