图知网
搜索
首页
热门推荐
图片分类
小猪佩奇动画:小猫坎迪,小羊苏西和小马佩德罗来佩奇家做客
下载原图
相关图片
推主帮猫咪一家,拍了两张合照!
正文小猫坎迪
趣盒子小猪佩奇玩具拆箱 小猪佩奇小猫坎迪变身魔法师玩具故事_高清
卡通系列简笔画之小猫坎迪
坚持才会成功!小猫坎迪坚持打理花盆,最终收获了魔法棒
54超级飞侠出发一起守护农场06:29小猫坎迪想用魔法帮猪爷爷变出
为你推荐
美丽的夜晚,夕阳.街灯.圆月.构成了一幅幅精美的画面.
12.8周六上午十点二十班作品《小动物理发店》
图片浏览最终页面
factory hot selling cheap crates wholesale square wood crate
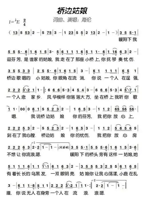
桥边姑娘-简谱口琴谱-学口琴音乐网
王昱涵2019新春寒假
中国风仁义礼智信道德小报手抄报
lol英雄联盟射手英雄高清电脑桌面壁纸图片大全