图知网
搜索
首页
热门推荐
图片分类
显高显瘦!醋酸连衣裙,我的新款连衣裙来啦
下载原图
相关图片
nice ~穿上身简直绝绝子 春夏款高端精致白色肌理感醋酸吊带裙子,可
这款醋酸面料连衣裙,简直是职场女性的时尚秘籍!它轻盈柔软,穿 - 抖音
醋酸连衣裙,时尚又显气质💃.
一眼就爱上的长裙,这款长裙醋酸面料,上身丝滑舒适,黑色提花小设计
重磅真醋酸纯色半裙~ - 17网
醋酸面料连衣裙女高端贵夫人大码遮肚子显瘦缎面裙子2021新款夏季
为你推荐
【荒岛宝藏】4k风景壁纸图片 2k旅行摄影素材[十六]_进行_景色_文化
2021年最新款微信吉祥好运文字头像
旋风少女演员表,这部青春剧,第一季你看完了吗
书籍装帧设计 2017毕业设计作品集
你要不要碧莲
『daily life』微信新功能,转账变得更方便了!
气海穴竟然有这么大的作用,大家都忽略了!
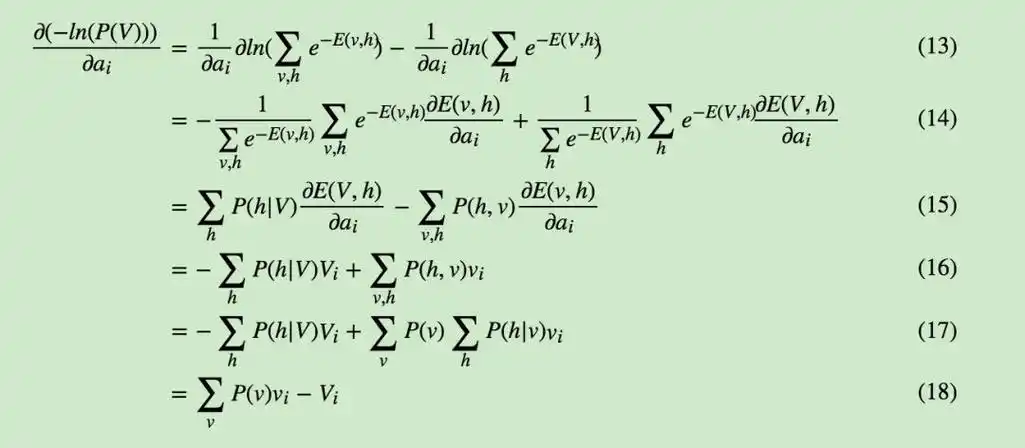
受限玻尔兹曼机(rbm)原理总结