图知网
搜索
首页
热门推荐
图片分类
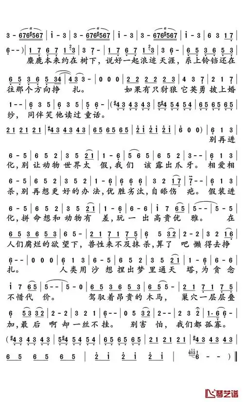
动物世界-薛之谦双手简谱预览1
下载原图
相关图片
动物世界-c调简单版双手简谱预览1
动物世界c调简单版双手简谱预览2
动物世界简谱 薛之谦-里面似乎还藏着其他故事2
动物世界-薛之谦-f调 -流行钢琴简谱
>>动物世界 薛之谦 原版 唯音悦制谱
简谱教学:《动物世界》片头曲选段,这首动感十足的音乐这样唱谱-音乐
为你推荐
被前辈认可舞蹈家杨丽萍点赞张艺兴夸父逐日舞台分析
问题一,程小晋李易峰为何分手?
森之鼓女童小背心抹胸衣发育期小学生夏季女孩无痕内衣10岁13岁
手写好句/万般皆苦 唯有自渡
可爱的僵小鱼壁纸#抖音图文来了 #壁纸#创作灵感 #手机壁 - 抖音
湖南的景点湖南的十大旅游景点有哪些
这首由不靠谱组合cover的《走马》,唱出了与原唱陈粒不一样的味道
名家扇面花鸟画集锦