图知网
搜索
首页
热门推荐
图片分类
钢材理论重量表,h型钢 c型钢理论重量,记得点赞收藏#钢材重 - 抖音
下载原图
相关图片
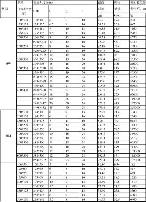
h型钢规格表
> h型钢参数h型钢型号及参数表 截面特性参数 类 别 截面尺寸 型号 h*
建筑/土木 h型钢表 g别/t 1b132—1—989 ,宽,窄翼中缘型h截钢尺寸面
h型钢规格尺寸 400×400 hm 150×100 200×150 250×
h型钢规格型号及理论重量计算汇总表
无忧文档 所有分类 工程科技 机械/仪表 成品h型钢表 花纹钢板规格(kg
为你推荐
经典款戒指丨一直火了很多年的海蓝宝珍珠戒
丸子妹情侣头像
第二代目土影
tf家族夏季运动会丁程鑫张真源摔跤丁程鑫focus
如果问哪种植物的果实长得最大?那一定是南瓜!
打拼励志的短句图片努力致富图片
剪纸牡丹花图片素材
五角星领花(上橄榄枝,下松枝叶)