图知网
搜索
首页
热门推荐
图片分类
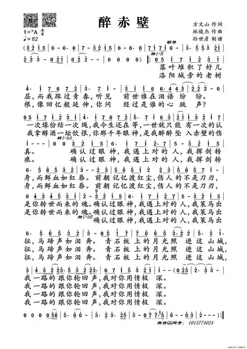
醉赤壁简谱
下载原图
相关图片
醉赤壁 谱友园地
醉赤壁简谱 林俊杰 一首穿越时空的缠绵情歌
醉赤壁钢琴谱林俊杰降a调流行钢琴五线谱
钢琴谱:醉赤壁(林俊杰)
醉赤壁简谱
林俊杰jjlin醉赤壁talesoftheredcliff完整演奏版内含原ab调和转g调
为你推荐
这段关系曝光后,萧亚轩面临了许多批评和质疑.
《海星简笔画教程》
玫瑰盆栽
可爱呆萌动漫男生头像 动漫头像图片大全 -【爱个性】
我2008年月2月11日出生啦.这是我一百天的照片,可爱吧.
534_301gif 动态图 动图
龙泉市刀剑花纹钢八面汉剑影视冷兵器春秋汉剑硬剑宝剑收藏未开刃
香港11城巴公交车路线