图知网
搜索
首页
热门推荐
图片分类
我心中的最美教师主题儿童画(25)-画画图片大全
下载原图
相关图片
我的老师画画作品
小手画老师奇奇怪怪可可爱爱
我心中的最美教师主题儿童画(9)-画画图片大全
我心中的最美教师主题儿童画(3)-画画图片大全
"教师节快乐 最美班主任"的儿童绘画(19)-画画图片大全
"最美是您 我的老师"儿童绘画作品(低年级组)-图1
为你推荐
【包邮包税】 celine赛琳思琳 21年秋冬 女士 手提包 belt mini 粒面
很伤心的说说句子和心酸图片
驱魔人
管钳管子钳610121418243648寸水管钳工业扳手
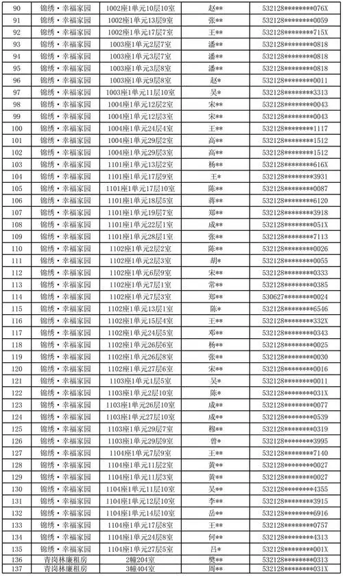
公共租赁住房租金欠缴名单(已隐藏姓名身份证)(1)_6786_3.jpg
五子棋禁手规则简单图解及一些复杂禁手判断的分析讨论
敖丙问哪吒吃饼饼吗哪吒回答吃丙丙接下来的画面要不要太甜
卷帘遮光窗帘成品