图知网
搜索
首页
热门推荐
图片分类
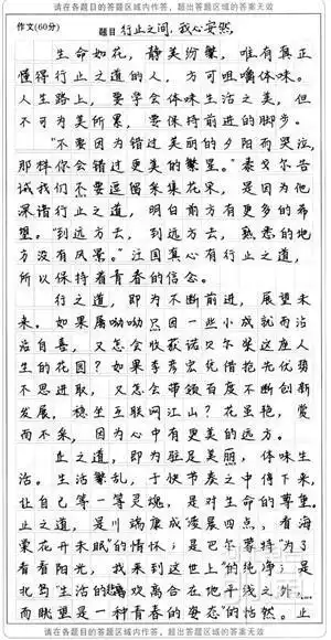
【衡水高考语文卷面书写】_衡水学霸字体中文_衡水中学学霸用"印刷体"
下载原图
相关图片
什么是"衡水体"?怎样在考场字体写成"衡水体"?
衡水体汉字衡水体汉字
衡水中学学霸卷面展示,什么字体才能让阅卷老师给你加分?
高考阅卷"衡水字体"火了,"神仙卷面"太养眼,老师都不忍扣分
衡水体中文模板怎么练
衡水体中文字帖高考真题满分作文练字帖通用速成规范书写练字本 高考
为你推荐
内廷上用 云南茯苓野生中药材白芍白术白茯苓粉芡实土伏苓块丁 茯苓
一组可爱动物怎么画详细带步骤图动物简笔画图片
利比亚过渡政府总理巴沙加反对在分裂和冲突的情况下举行选举
还不会系吊坠,动图教学!珠宝店最全编绳方法
美国纽约城市风景真不错
本届直接任意球破门数已追平2014年世界杯 - =俄罗斯世界杯主版= 足球
花式系鞋带|老方法看腻了,就学学这些新花样吧