图知网
搜索
首页
热门推荐
图片分类
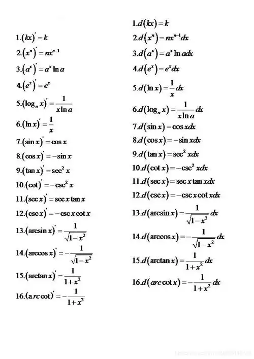
高等数学导数与微分高数第二章
下载原图
相关图片
常见求导公式
导数微分积分基本公式对照表pdf
基本函数的导数表
导数公式表ppt
基本导数公式
导数公式( 导数公式表 )
为你推荐
香草冰淇淋
柳岩高清时尚写真,华贵优雅!
关于波波头的卷发发型图片的图片及评论
smg动画制作流程图文话题讨论
假面骑士空我 kuuga cs腰带
家中有几个财位这三个位置应加强
象棋棋谱梅花谱和反梅花谱.doc 11页
正常肩关节磁共振mri解剖图谱超级经典值得收藏