图知网
搜索
首页
热门推荐
图片分类
初中精选数学计算题200道
下载原图
相关图片
初中数学计算题200道_第2页
解方程组计算题
初中数学作业计算题8/3-4?
初中数学有理数的乘除计算题专题训练含答案过程doc
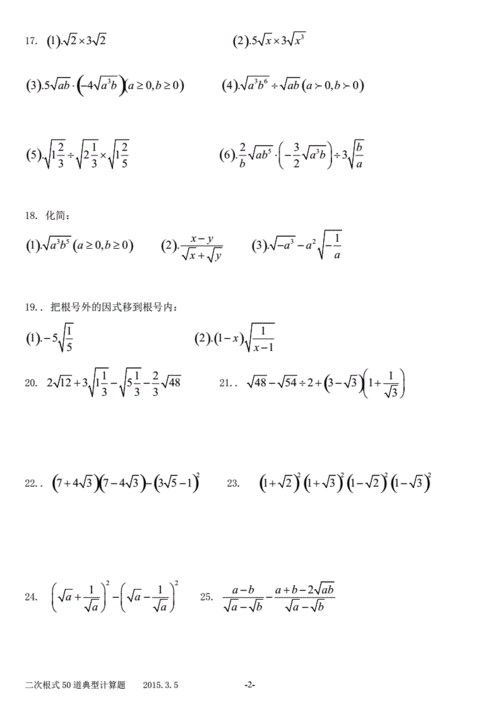
初中数学二次根式50道典型计算题.doc
初中七年级数学上册整式计算题专项练习含答案doc13页
为你推荐
如果超过标准体重的20%,就属于肥胖,这种算法简单,适合普通人群体重的
扎辫子可从来不仅仅是女性的权利,时至今日很多男性也会扎小辫,或帅气
呜呜呜小时候的熊大熊二真的可爱炸了! 最后四张是情头喔!
帅哥明星林彦俊图片桌面壁纸
女生线稿侧面打卡 | 起型步骤完整示范day13
2 喜欢:4 美国经济分析局9月26日修订了2019年至2023年美国gdp数据
jojo普罗修特
简笔画色块圆形图案联想