图知网
搜索
首页
热门推荐
图片分类
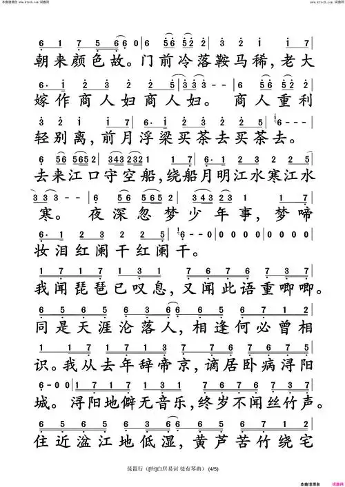
《琵琶行》简谱
下载原图
相关图片
《琵琶行》简谱
琵琶行智能简谱
琵琶行简谱
《琵琶行》简谱
琵琶行 ([唐]白居易词 王昌曲曲) 歌谱简谱网
琵琶行_简谱_搜谱网
为你推荐
情侣头像
下雨天唯美图片大全背景皮肤 微信下雨天图片大全-腾牛个性网
我的印象笔记 收藏,随时随地做两下,缓解疲劳放松心情~(via@跑步指南
记忆中的那一扇柴门
背景图高清唯美动漫简笔画
【孙芮颜值】【孙芮返图】【孙芮舞台】【孙芮素颜.
日本鬼子搞笑头像_微信头像图片大全
张鲁一主演《大秦赋》