图知网
搜索
首页
热门推荐
图片分类
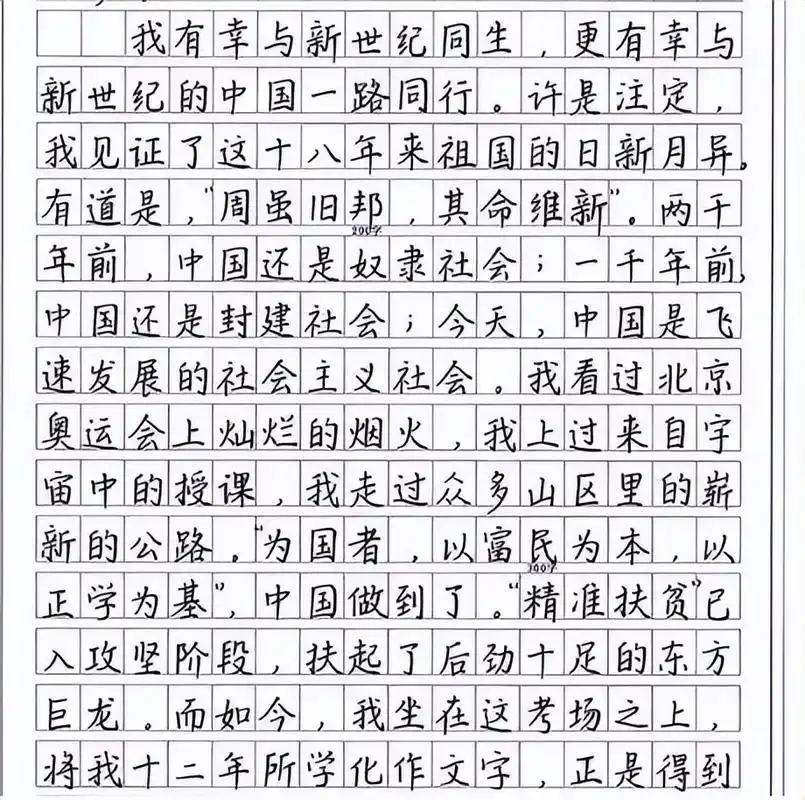
高考出现的神仙卷面老师看后不忍扣分字迹的工整有多重要
下载原图
相关图片
高考出现"神仙卷面",字迹工整犹如印刷体,阅卷老师赞不绝口
高考语文146分的卷面:字迹如"印刷体",老师不忍心扣分
高考中的神仙卷面字迹工整张弛有度阅卷老师找不到扣分点
高考满分卷面走红网络神仙字迹使老师不忍扣分网友少见
高考出现的"神仙卷面",老师不舍得扣分,实例表明书写的重要性
规范答题,卷面工整——高考高分秘诀
为你推荐
莎拉卡梅隆的黄金比例脸
羽毛球场地尺寸
中国最高的巨人 达人类巅峰
中国人民银行定于2022年12月22日起陆续发行2023年贺岁纪念币一套
640_387
她自幼失去双手,却在14岁成为又美又飒的少女模特!_tilly
国斗生病(密集恐惧慎入) - 雷龙斗鱼 - cta南美水族
新西兰进口 康维他麦卢卡蜂蜜 umf20 250g/瓶 原装蜂蜜