图知网
搜索
首页
热门推荐
图片分类
垃圾简笔画
下载原图
相关图片
> 手工艺工具/原料 笔纸 方法/步骤 end 注意事项 用弧线和曲线画苹果
简笔画怎么画各种垃圾
卡通,核废料
苹果核垃圾机械朋克重甲硬核金属立体边框摘要载体图解标识全熟果核
儿童简笔画垃圾的简单画法
核废料,卡通
为你推荐
女生170 140斤是一种怎样的体验? - 知乎
高斯奥特曼全敌役前40实力排名(个人向)tv ov 剧场版 - 抖音
一肚子酒图片_一肚子酒动态图_一肚子酒表情包gif动图下载_soogif
大漠枪神
di blasi r30折叠电动三轮车机构原理解析
全家福萝卜丁12斤箱刘成燕食品
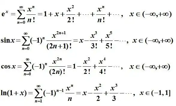
常用函数的麦克劳林级数展开式?
美角儿 2013夏季新款 民族风胸前大花刺绣小v领口短袖修身t恤 黑色 xl