图知网
搜索
首页
热门推荐
图片分类
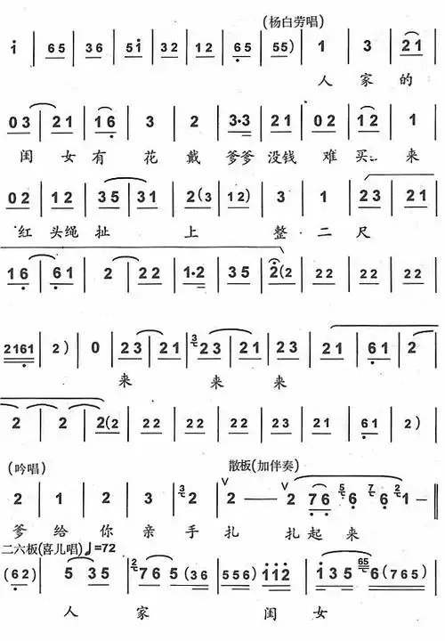
越剧《红楼梦》121-140_歌谱_曲谱_乐谱 - 多来米,123
下载原图
相关图片
娘的眼泪是水淌
越剧《红楼梦》101-120_歌谱_曲谱_乐谱 - 多来米,123
早也盼晚也盼1
越剧《红楼梦》101-120_歌谱_曲谱_乐谱 - 多来米,123
紧皱的眉头得舒展3
越剧红楼梦宝玉哭灵曲谱歌词
为你推荐
刘亦菲36岁生日!唐嫣晒照为其庆生,尽显友谊情深
如何饲养刚出生的小奶猫
盘点斗罗大陆三哥的所有魂环魂技#斗罗大陆图片 - 抖音
高冷御姐情侣头像一男一女高清图片
古风徽派建筑插画手绘古建筑粉黛百图斩原创风景原画
不锈钢编织冷热进水软管马桶热水器高压防爆金属进水软管
最 男 人 的 男 人
丰都鬼城,你敢不敢来? - 抖音