图知网
搜索
首页
热门推荐
图片分类
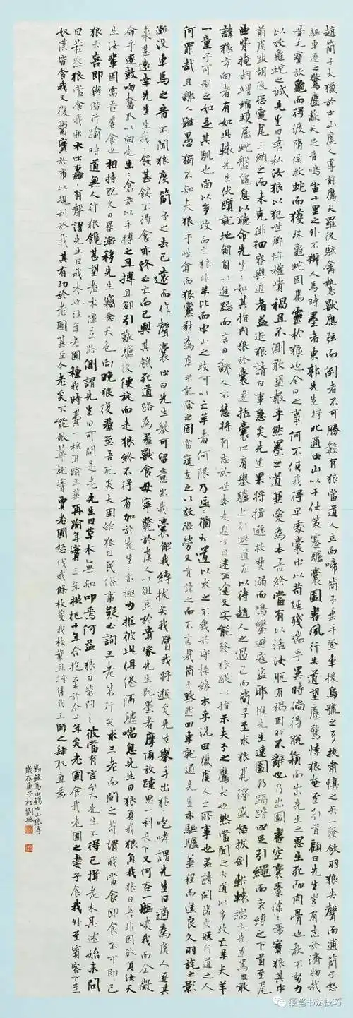
子闻堂—梁允2020年获奖入展情况
下载原图
相关图片
小楷日常手稿,拉出三张随意拼接 #我的书法分享 #书法 #河南大学
2020中国书法61年展全国书法作品展楷书篇
2020中国书法61年展全国书法作品展楷书篇
子闻堂—梁允2020年获奖入展情况
中国翰园碑林举办郑培亮书法刻石手稿展
vr展厅丨大美长江——孙晓云长江主题书法手稿特展_中共江苏省委_展览
为你推荐
王俊凯动漫q版图片粉丝求图qq爱的你就是这么q弹可爱
男生齐刘海碎发发型图片 个性男生就这样修饰
中药|摄影|静物|麦子186 - 原创作品 - 站酷 (zcool)
04.18-28
中国(高枫词曲 陈良编合唱)简谱-合唱曲谱-爱曲谱网
客订,蛋壳镶嵌漆画
说起杨虎城将军,就不得不提到张学良,当年他们二人一起"逼蒋抗日"
枸杞叶肉片汤